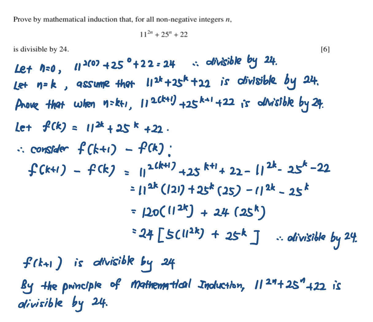
9231_S14_QP11_Question 3 (Full Solution)

 9231_S14_QP11_Question 3 (Full Solution)



No comments:

Post a Comment

Note: only a member of this blog may post a comment.

Featured post

Welcome to Pro A Tuition Centre

  Welcome to Pro A Tuition Centre