Friday, 25 November 2016

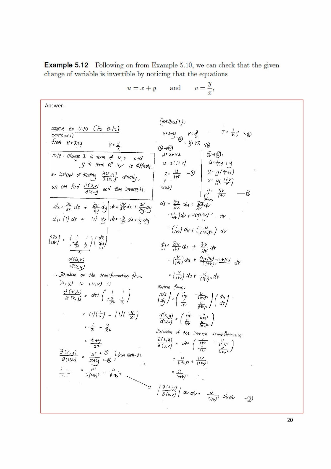
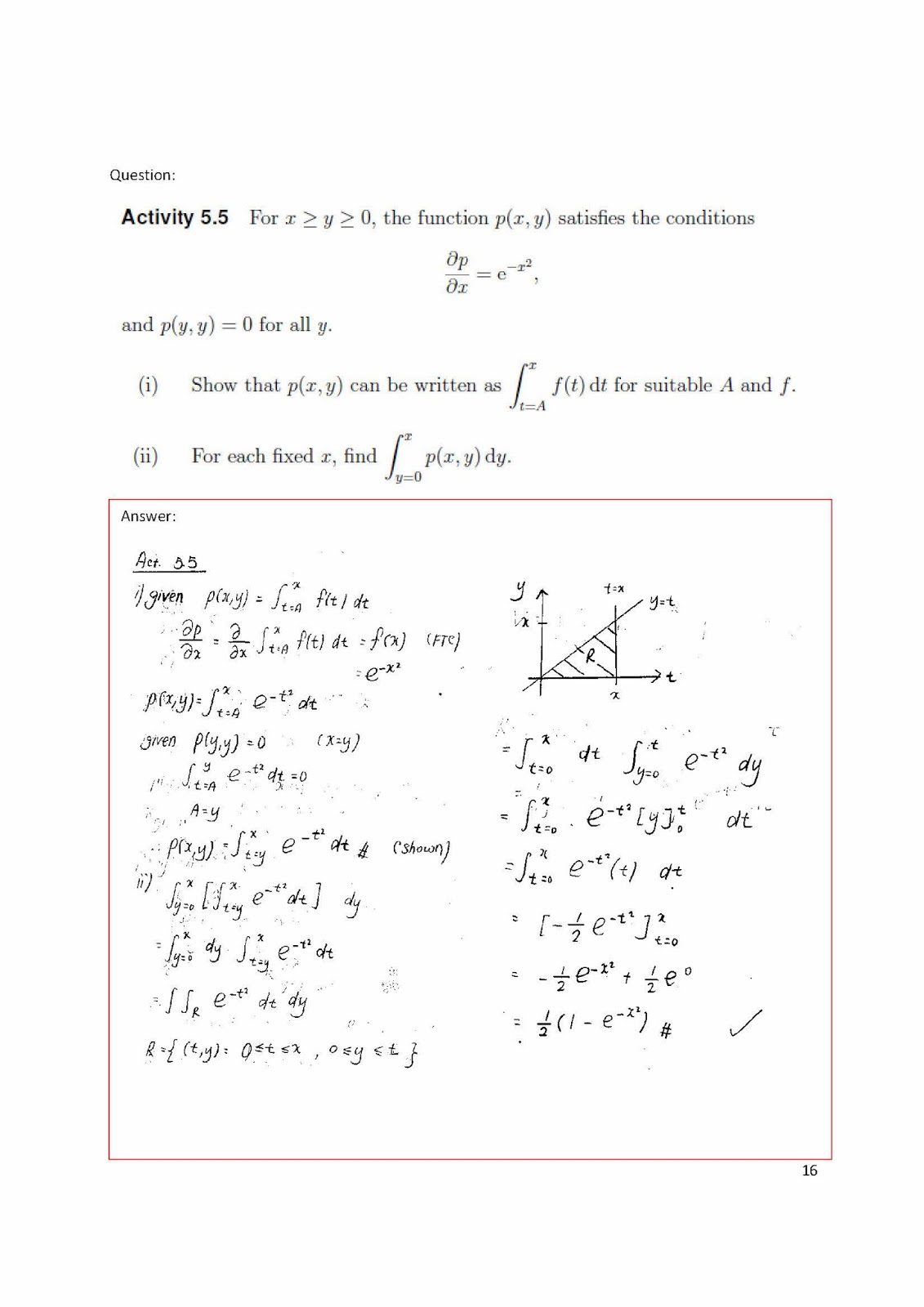
Undergraduate Math- Further calculus- Double integrals









































No comments:

Post a Comment

Note: only a member of this blog may post a comment.

Featured post

Welcome to Pro A Tuition Centre

  Welcome to Pro A Tuition Centre