Wednesday, 10 February 2021

CIE A-Level Maths (A2-Paper 4) Topical Past Year Exams- 4.5 Energy, work and power (2020-2022 Syllabus)

   Advertisement:

 Online Tuition from Pro A Tuition (worldwide service)

Need help to solve math question? Click here (worldwide service)


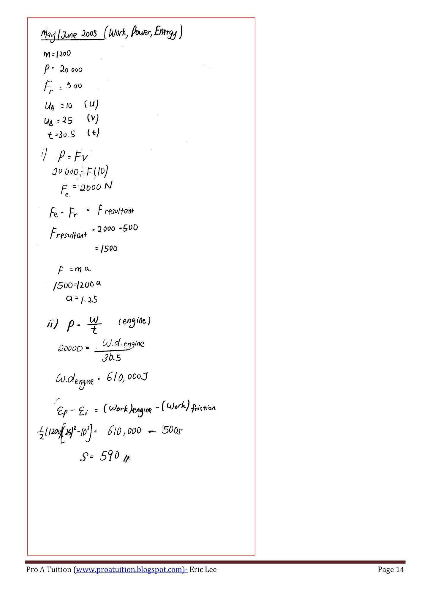
4.5 Energy, work and power

This note is prepared based on Mathematics 9709 (2020-2022 Syllabus)



























No comments:

Post a Comment

Note: only a member of this blog may post a comment.

Featured post

Welcome to Pro A Tuition Centre

  Welcome to Pro A Tuition Centre